9 - Simple Harmonic Motion Questions Answers
The quality factor of a sonometer wire is 2 x 10³. On plucking it makes 240 per second. Calculate the time in which the amplitude decreases to half the initial value.



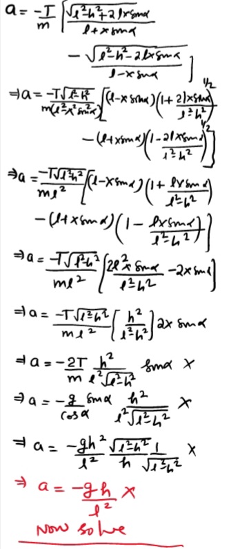
small ring is threaded on an inextensible frictionless cord of length 2l.
The ends of the cord are fixed to a horizontal ceiling. In equilibrium, the
ring is at a depth h below the ceiling. Now the ring is pulled aside by a
small distance in the vertical plane containing the cord and released.
Find period of small oscillations of the ring. Acceleration of free fall is g.


TWO PENDULUM HAVE TIME PERIODS T &5T/4. THEY STARTS SHM AT THE SAME TIME FROM THE MEAN POSITION . WHAT WILL BE THE PHASE DIFFERENCE B/W THEM AFTER D BIGGER PENDULUM COMPLETED ONE OSCILLATn ??
ans 900
When bigger pendulum will complete its one oscillation, the smaller one will complete [1+(1/4)] oscillation. so phase difference = 2π*(T/4)/T = π/2
2 comparable masses m1 and m2 r orbiting about their bodycenter o at distance r1 and r2 from their body center respectively with a common period T. the squar of time period ?

According to the diagram
Gm1m2/(r1+r2)2 = m1r1ω2 = m2r2ω2
compare first part with either second or third part of the given equation for getting ω2 then find T2




