68 - Rotational mechanics Questions Answers
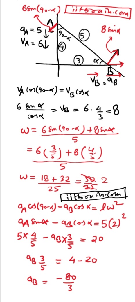
Sir you have discussed a problem earlier krotov 1.23 problem sir you solved that problem by taking a point o on the circle sir but. My question is that can we observe it from centre frame
Asked By: UJJWAL DWIVEDI
is this question helpfull: 3 0
submit your answer

Asked By: SAURABH SHARMA
is this question helpfull: 2 0
submit your answer










