12 - Limit Continuity and Differentiability Questions Answers




Find
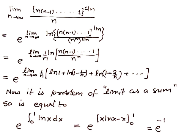
lim nāā āæā(n!) / n

Sir , i have solved limx-->0 (sin-1x - tan-1x )/x3 . plz have a look on others.
limx-->0 (sin-1x - tan-1x )/x3
use D L Hospital rule or expansion of sin-1x and tan-1x to solve it
no of solutions of e-x^2/2 - x2 = 0 are

two intersecting points means two solutions
lim x»infinity( ((x+1)(x+2)(x+3)(x+4))^¼ - x )
multiply with the conjugate in numerator again and again you will get
limx->∞ ((x+1)(x+2)(x+3)(x+4) - x4)/((x+1)(x+2)(x+3)(x+4))1/4 + x )*((x+1)(x+2)(x+3)(x+4))1/2 + x2 )
after solving the numerator get a 3 power expression of x then take 3 power of x common, similarly take x and 2 power of x from the first and second denominator terms
lim n--> ∞ 4^n/n!
limn->∞ 4n/ n!
= limn->∞ [4/1][4/2][4/3][4/4][4/5][4/6][4/7]................................[4/n]
besides first four bracket, all brackets are real numbers less than 1 so their product will be zero for n tends to infinite
Importance High!!!!!!!!!!!!!!!!!
Dear Sir / Madam
Myself Rajeev Shrivastava, I am putting a signs series in front of you which based on numbers from 01 to 100. Actually I want to know that what reason of behind Approx equability of signs is
(++), (+-), (--) & (-+) at end of the month or year between the below mentioned.
Let's define a kind of mapping:
0↔1
2↔3
4↔5
6↔7
8↔9
(+) means: an Even number
(-) means: an Odd number
I simply say: for any EO (+-) it exists an OE (-+) which is paired to.
And that's true since each E is mapped to a O and vice versa (1 to 1 relation where "f(f(x))=x" ) !
E.g.: 29 ↔ 83
There is 25 numbers in the EO (+-) group, so 25 in OE (+-).
There is 25 numbers in the EE (++) group, so 25 in OO (--).
Picking a number at random between 01 and 100 inclusive is choosing equitably in EO, OE, EE or OO group. (25% for each)
So, I really need of your help to solve a puzzle please. I just am trying to make you understand what type of solution I need:
There are some results for your review:
|
MONTH |
DATE |
DAY |
FIRST_SERIES |
SECOND_SERIES |
FIRST_SERIES |
SECOND_SERIES |
||
|
APR |
1 |
SUN |
+ |
- |
- |
+ |
+- |
-+ |
|
APR |
2 |
MON |
+ |
+ |
- |
+ |
++ |
-+ |
|
APR |
3 |
TUE |
+ |
- |
+ |
- |
+- |
+- |
|
APR |
4 |
WED |
+ |
+ |
+ |
+ |
++ |
++ |
|
APR |
5 |
THU |
- |
+ |
- |
+ |
-+ |
-+ |
|
APR |
6 |
FRI |
+ |
+ |
+ |
- |
++ |
+- |
|
APR |
7 |
SAT |
+ |
- |
- |
+ |
+- |
-+ |
|
APR |
8 |
SUN |
- |
+ |
+ |
- |
-+ |
+- |
|
APR |
9 |
MON |
- |
+ |
- |
+ |
-+ |
-+ |
|
APR |
10 |
TUE |
+ |
+ |
+ |
+ |
++ |
++ |
|
APR |
11 |
WED |
+ |
+ |
- |
- |
++ |
-- |
|
APR |
12 |
THU |
- |
+ |
- |
- |
-+ |
-- |
|
APR |
13 |
FRI |
+ |
+ |
+ |
+ |
++ |
++ |
|
APR |
14 |
SAT |
+ |
- |
+ |
- |
+- |
+- |
|
APR |
15 |
SUN |
+ |
- |
+ |
- |
+- |
+- |
|
APR |
16 |
MON |
- |
- |
+ |
+ |
-- |
++ |
|
APR |
17 |
TUE |
- |
- |
+ |
+ |
-- |
++ |
|
APR |
18 |
WED |
|
|
|
|
|
|
|
APR |
19 |
THU |
|
|
|
|
|
|
|
APR |
20 |
FRI |
|
|
|
|
|
|
|
APR |
21 |
SAT |
|
|
|
|
|
|
|
APR |
22 |
|
|
|
|
|
|
|
|
APR |
23 |
|
|
|
|
|
|
|
(Complete sheets for the year 2011 and 2012 are attached with this mail)
You can see that there are two times falls in a day of pair make by even (+) and odd (-) signs, i.e. (++), (+-), (--) & (-+) as above said.
The total of pair combination signs become approx equal to each other at the end of the month or year (every year- so, I am sending you attachment to go through the year’s result).
By this analysis:
1- I want to know that what is the relation between current falling signs and past fell signs.
2- How can I come to know, what type of combination of sign would be any particular date or day.
3- As you can seen on 22nd and 23rd April’2012 I don’t know what combination of sign is.
4- There is surety that there is some relation between current First fall of combination of signs and past fall or First fall of combination of signs and Second fall of combination of signs.
Please help me to how come to know what type of fall may be for next day by reviewing past or first combination of signs. So reply or elaborate me with an example.
I would be very grateful to you till entire life.
Regards
RAJEEV SHRIVASTAVA
Importance High!!!!!!!!!!!!!!!!!
Dear Sir / Madam
Myself Rajeev Shrivastava, I am putting a signs series in front of you which based on numbers from 01 to 100. Actually I want to know that what reason of behind Approx equability of signs is
(++), (+-), (--) & (-+) at end of the month or year between the below mentioned.
Let's define a kind of mapping:
0↔1
2↔3
4↔5
6↔7
8↔9
(+) means: an Even number
(-) means: an Odd number
I simply say: for any EO (+-) it exists an OE (-+) which is paired to.
And that's true since each E is mapped to a O and vice versa (1 to 1 relation where "f(f(x))=x" ) !
E.g.: 29 ↔ 83
There is 25 numbers in the EO (+-) group, so 25 in OE (+-).
There is 25 numbers in the EE (++) group, so 25 in OO (--).
Picking a number at random between 01 and 100 inclusive is choosing equitably in EO, OE, EE or OO group. (25% for each)
So, I really need of your help to solve a puzzle please. I just am trying to make you understand what type of solution I need:
There are some results for your review:
|
MONTH |
DATE |
DAY |
FIRST_SERIES |
SECOND_SERIES |
FIRST_SERIES |
SECOND_SERIES |
||
|
APR |
1 |
SUN |
+ |
- |
- |
+ |
+- |
-+ |
|
APR |
2 |
MON |
+ |
+ |
- |
+ |
++ |
-+ |
|
APR |
3 |
TUE |
+ |
- |
+ |
- |
+- |
+- |
|
APR |
4 |
WED |
+ |
+ |
+ |
+ |
++ |
++ |
|
APR |
5 |
THU |
- |
+ |
- |
+ |
-+ |
-+ |
|
APR |
6 |
FRI |
+ |
+ |
+ |
- |
++ |
+- |
|
APR |
7 |
SAT |
+ |
- |
- |
+ |
+- |
-+ |
|
APR |
8 |
SUN |
- |
+ |
+ |
- |
-+ |
+- |
|
APR |
9 |
MON |
- |
+ |
- |
+ |
-+ |
-+ |
|
APR |
10 |
TUE |
+ |
+ |
+ |
+ |
++ |
++ |
|
APR |
11 |
WED |
+ |
+ |
- |
- |
++ |
-- |
|
APR |
12 |
THU |
- |
+ |
- |
- |
-+ |
-- |
|
APR |
13 |
FRI |
+ |
+ |
+ |
+ |
++ |
++ |
|
APR |
14 |
SAT |
+ |
- |
+ |
- |
+- |
+- |
|
APR |
15 |
SUN |
+ |
- |
+ |
- |
+- |
+- |
|
APR |
16 |
MON |
- |
- |
+ |
+ |
-- |
++ |
|
APR |
17 |
TUE |
- |
- |
+ |
+ |
-- |
++ |
|
APR |
18 |
WED |
|
|
|
|
|
|
|
APR |
19 |
THU |
|
|
|
|
|
|
|
APR |
20 |
FRI |
|
|
|
|
|
|
|
APR |
21 |
SAT |
|
|
|
|
|
|
|
APR |
22 |
|
|
|
|
|
|
|
|
APR |
23 |
|
|
|
|
|
|
|
(Complete sheets for the year 2011 and 2012 are attached with this mail)
You can see that there are two times falls in a day of pair make by even (+) and odd (-) signs, i.e. (++), (+-), (--) & (-+) as above said.
The total of pair combination signs become approx equal to each other at the end of the month or year (every year- so, I am sending you attachment to go through the year’s result).
By this analysis:
1- I want to know that what is the relation between current falling signs and past fell signs.
2- How can I come to know, what type of combination of sign would be any particular date or day.
3- As you can seen on 22nd and 23rd April’2012 I don’t know what combination of sign is.
4- There is surety that there is some relation between current First fall of combination of signs and past fall or First fall of combination of signs and Second fall of combination of signs.
Please help me to how come to know what type of fall may be for next day by reviewing past or first combination of signs. So reply or elaborate me with an example.
I would be very grateful to you till entire life.
Regards
RAJEEV SHRIVASTAVA
If you are making the sequence on the basis of dates then you should take signs accordingly then you can make this sequence for many years
for example if you take 23 june then first sign series will be +-, + for even number and - for odd number , now as conversion rule as you gave in your explanation 23 will be converted to 32 so second series will be -+
similarly you can make it for any date
for example 29 december first series will be +- and its conversion is 38 so next series will be -+
if you are thinking something else then explain your question correctly
ABC is an isosceles triangle inscribed in a circle of radius r. If AB=AC and h is the altitude from A to BC. and P and φ denote the perimeter and area of the triangle respectively, then lim n−» 0 φ/p³ is equal to??
first draw a cirle and triange inside it , consider angle B and angle C asα so angle A = 180-2α, let centre of the circle is O and D is the point in the line BC where altitude meets in the line BC, given that altitude = h and radius = r
so AB = AC = h cosecα and BC = 2 h cotα so
p = 2 h (cosecα + cotα)
and φ = 1/2 2 h cotα h = h2 cotαa
and in triangle OBD angle OBD = 2α - 90 so cos(2α - 90) = h cotα /r implies that h = 2 r sin2α
now i think limit will be based on h not n
lim h−» 0 φ/p³ = 1/128r
for getting solution put p and φ first then put h in terms of r, you will get an equation based on α and r,
convert limh->0 to limα->0 because when h will be 0, α will also be 0
limit n tends to ∞
then
(x^n)/(n!) equals
let y = lim n->∞ (xn/n!)
or y = x lim n->∞ (1/n) lim n->∞ xn-1/(n-1)!
or y = 0

