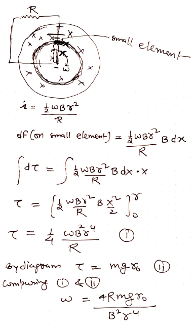
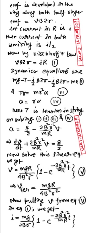
15 - Electromagnetic Induction Questions Answers

Asked By: MEHUL
is this question helpfull: 2 0
submit your answer

Asked By: MEHUL
is this question helpfull: 1 0
submit your answer

Asked By: TUSHAR GUPTA
is this question helpfull: 0 1
submit your answer
Joshi sir comment


Asked By: TUSHAR GUPTA
is this question helpfull: 0 0
submit your answer

Asked By: KANDUKURI ASHISH
is this question helpfull: 0 0
submit your answer
Joshi sir comment


Asked By: AYUSH PAINE
is this question helpfull: 2 0
submit your answer
Joshi sir comment







