5 - Applications of differentiation Questions Answers



A window frame is shaped like a rectangle with an arch forming the top ( ie; a box with a semicircle on the top)
The vertical straight side is Y, the width at the base and at the widest part of the arch (Diam) is X.
I know that the perimeter is 4.
Find X if the area of the frame is at a maximum?

perimeter = 4 so 2Y + X + πX/2 = 4
and area = XY + [π(X/2)2]/2
put Y from 1st equation to 2nd we get A = X[4-X{1+(π/2)}]/2 + πX2/8
now calculate dA/dX and then compare it to zero
X will be 8/(4+π)
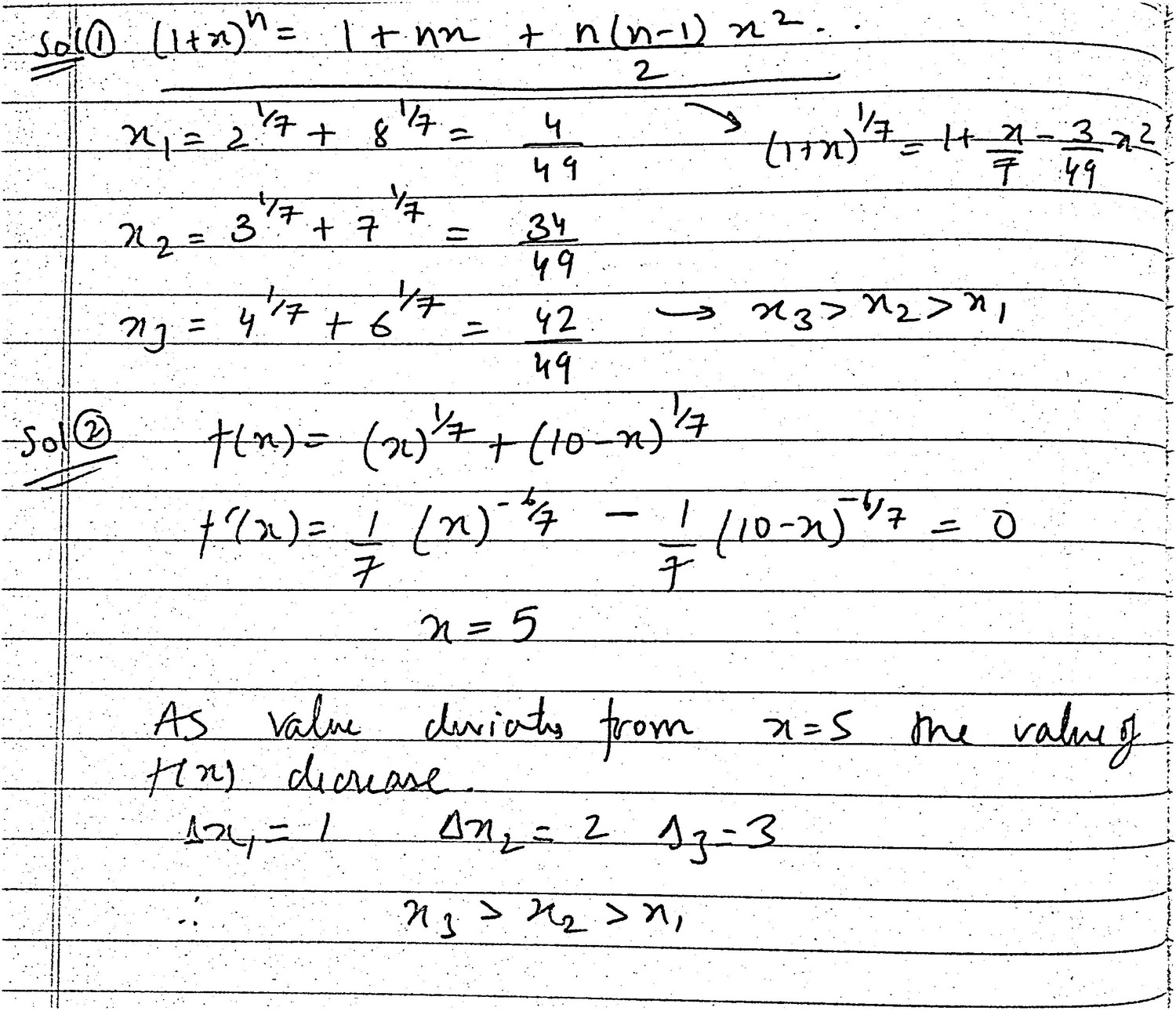
If f(x) is a monotonically increasing function " x Î R, f "(x) > 0 and f -1(x) exists, then prove that å{f -1(xi)/3} < f -1({x1+x2+x3}/3), i=1,2,3
f(x) is monotonically increasing so f '(x)>0 and f '' (x) >0 implies that increment of function increases rapidly with increase in x
These informations provide the following informations about the nature of inverse of f(x)
1) f -1 (x) will also be an increasing function but its rate of increase decreases with increasing x
2) for x1 < x2 < x3 , å{f -1(xi)/3} < f -1({x1+x2+x3}/3),
The same result for f(x) will be
å{f (xi)/3} > f ({x1+x2+x3}/3),
f(x+y) = f(x) + f(y) + 2xy - 1 " x,y. f is differentiable and f'(0) = cos a. Prove that f(x) > 0 " x Î R.
f(x+y) = f(x) + f(y) + 2xy - 1
so f(0) = 1 obtain this by putting x = 0 and y = 0
now f ' (x+y) = f ' (x) + 2y on differentiating with respect to x
take x = 0, we get f ' (y) = f '(0) + 2y
or f ' (x) = cosα + 2x
now integrate this equation within the limits 0 to x
we get f(x) = x2 + cosα x + 1
its descreminant is negative and coefficient of x2 is positive so f(x) > 0

